Trang chủ
Tìm kiếm
Toggle Menu
Văn bản
Thủ tục hành chính
Hỏi đáp
Đăng nhập
English
Ngôn ngữ
English
Đăng nhập
Thứ Sáu
17/4/2026
Tìm kiếm
20 °C
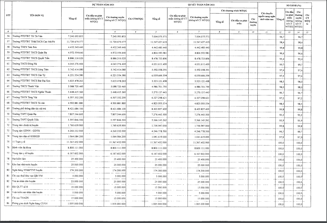
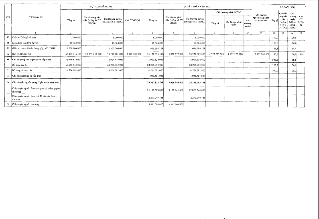
Quyết định công khai quyết toán ngân sách năm 2021 của huyện Quản Bạ
02/08/2022 - 09:59
64
Cỡ chữ:
Quyết định công khai quyết toán ngân sách năm 2021 của huyện Quản Bạ
Nhãn
FILE_20220802_085737_QD 3724 cong khai QTNS nam 2021 h.Quan Ba.pdf (328 KB)
Xóa
bình luận
Gửi bình luận
Bài viết liên quan
Quyết định Về việc công bố công khai dự toán ngân sách năm 2025 của huyện Quản Bạ
10/01/2025 - 23:17
70
Quyết định Về việc công khai số liệu dự toán ngân sách huyện và phân bổ ngân sách cấp huyện năm 2025 trình Kỳ họp thứ 14, Hội đồng nhân dân huyện Quản Bạ khóa XX, nhiệm kỳ 2021-2026
23/12/2024 - 23:23
70
Quyết định Về việc công bố công khai số liệu dự toán ngân sách 6 tháng đầu năm 2024 của huyện Quản Bạ
24/07/2024 - 18:26
64
Quyết định Về việc công bố công khai số liệu thực hiện dự toán ngân sách Quý I năm 2024 của huyện Quản Bạ
03/06/2024 - 21:52
72
Quyết định Về việc công bố công khai dự toán ngân sách năm 2023 của huyện Quản Bạ
22/02/2023 - 15:18
58
Quyết định công khai dự toán ngân sách quý II năm 2022 của huyện Quản Bạ
01/08/2022 - 06:09
72
Tìm kiếm
Thống kê truy cập
Số người online:
1
Số lượt truy cập tháng:
1
Số lượt truy cập năm:
1
Thống kê truy cập:
Số người online:
1
Số lượt truy cập tháng:
1
Số lượt truy cập năm:
1